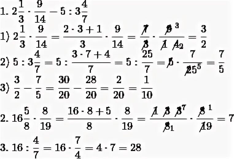
Frac 14 3 cdot frac 9 2