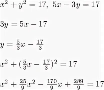
Frac 9 17 frac 3 34