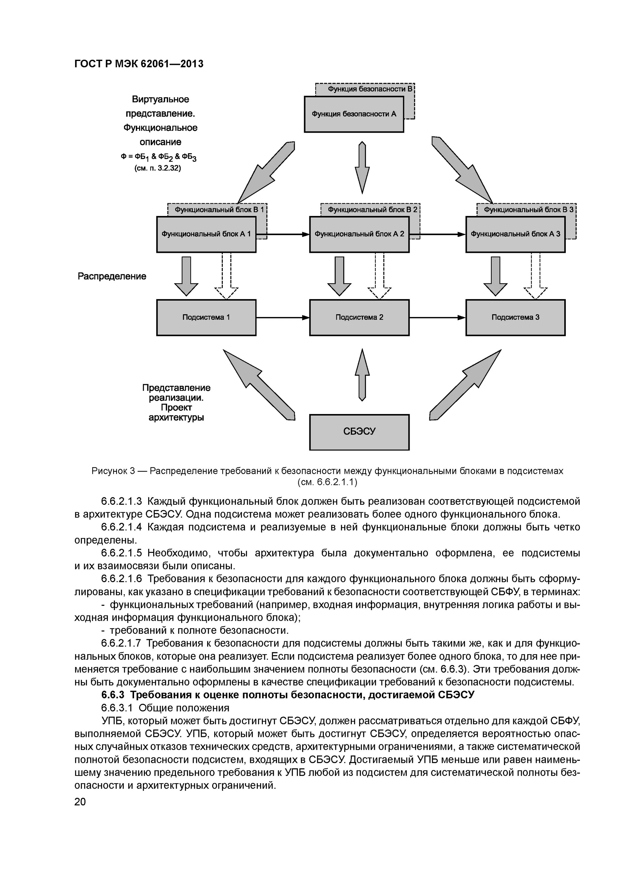
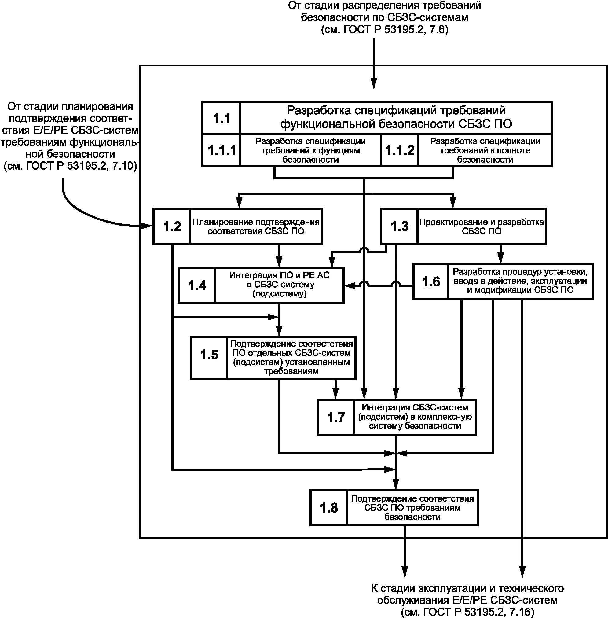
Функциональная безопасность информационной системы