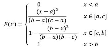
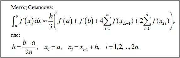
Функция симпсона