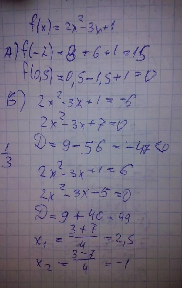
Функция задана формулой f x 5x