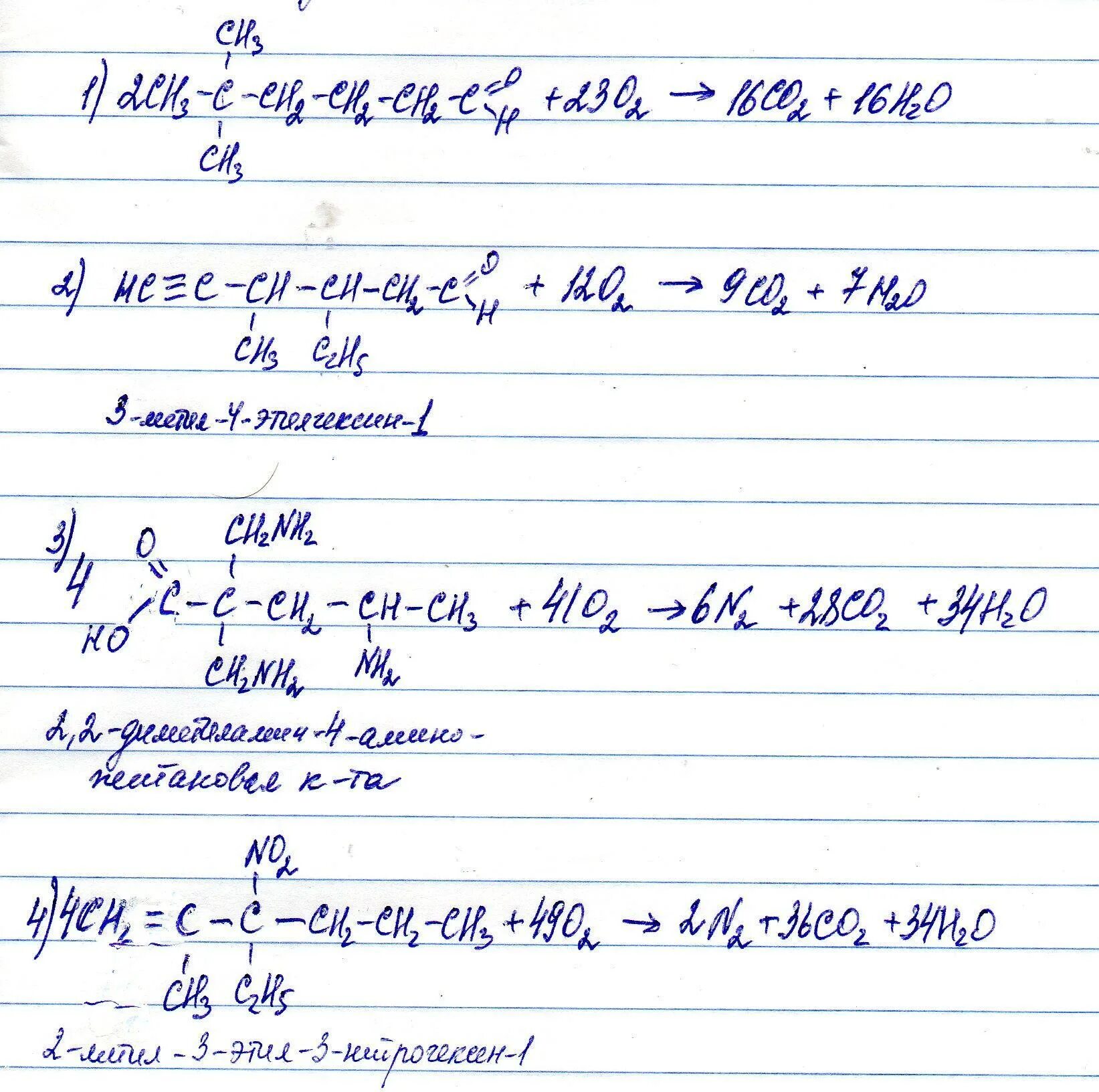
Гексин 1 реакции