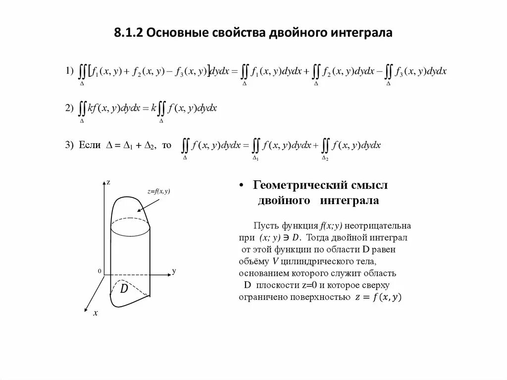
Геометрический смысл двойного интеграла