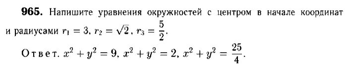
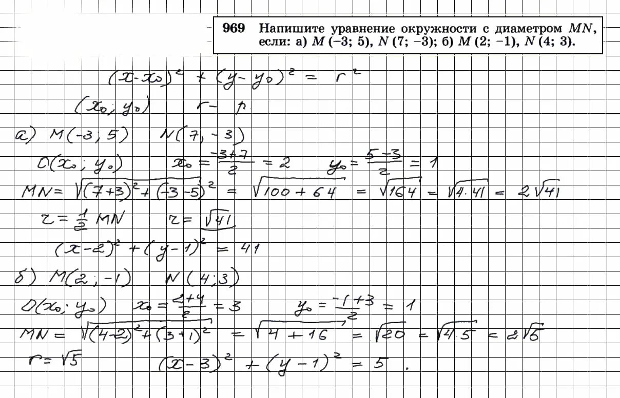
Геометрия 9 класс атанасян 1086