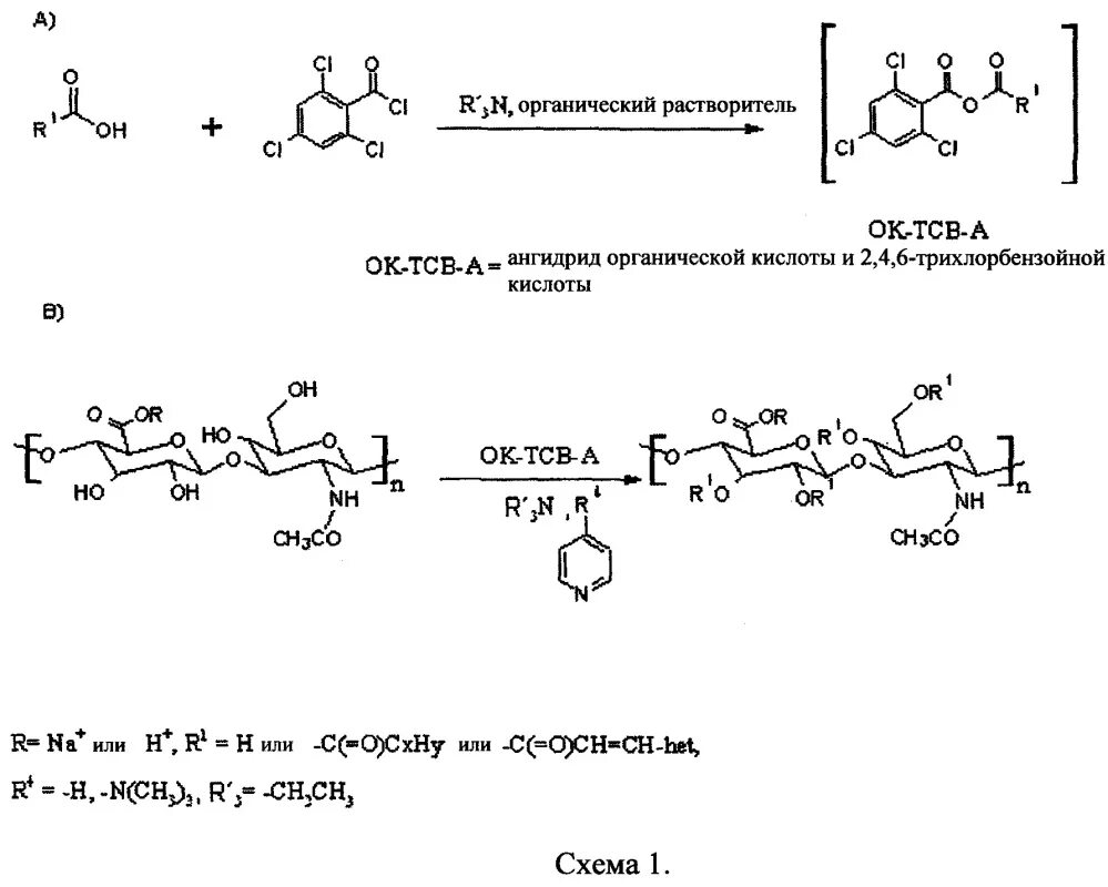
Гиалур кислота