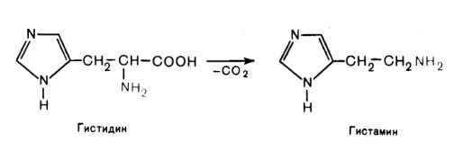
Гистамин формула