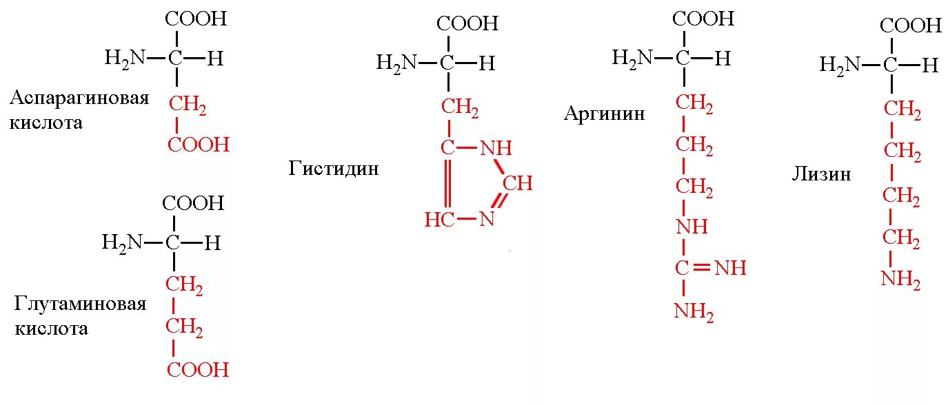
Гистидин незаменимая аминокислота