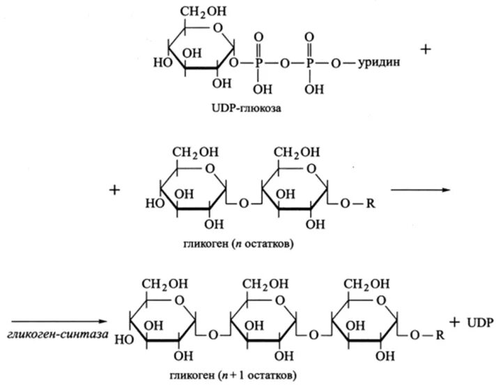
Гликоген имеет четвертичную структуру