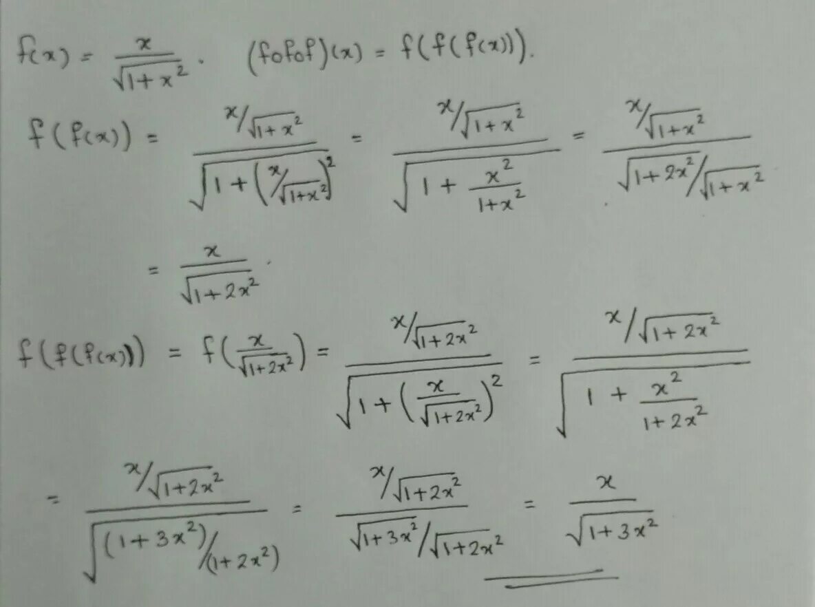
График f x корень x 5