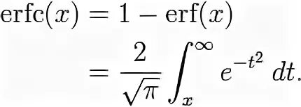
График функции ошибки