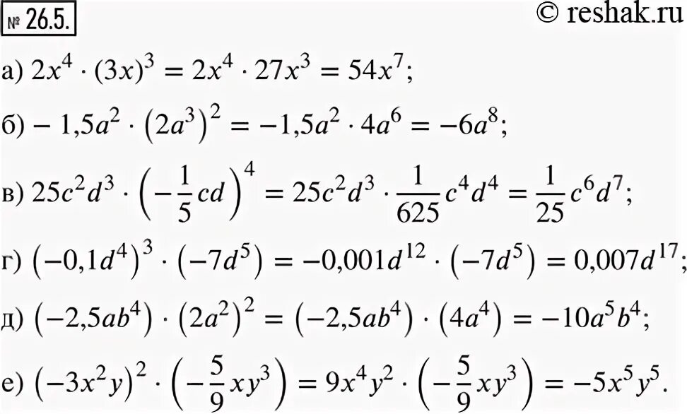
Группа 26 ответы