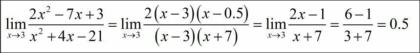
Х 1 x 7