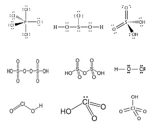
H 2 s o 4