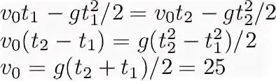
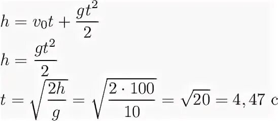
H v0t gt 2 2