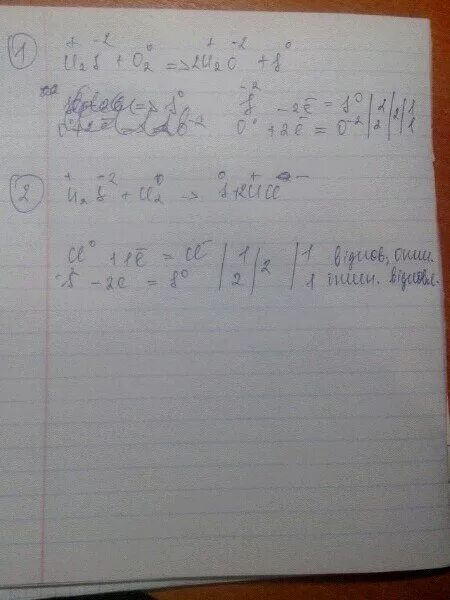
H2s cl2 s hcl расставить коэффициенты