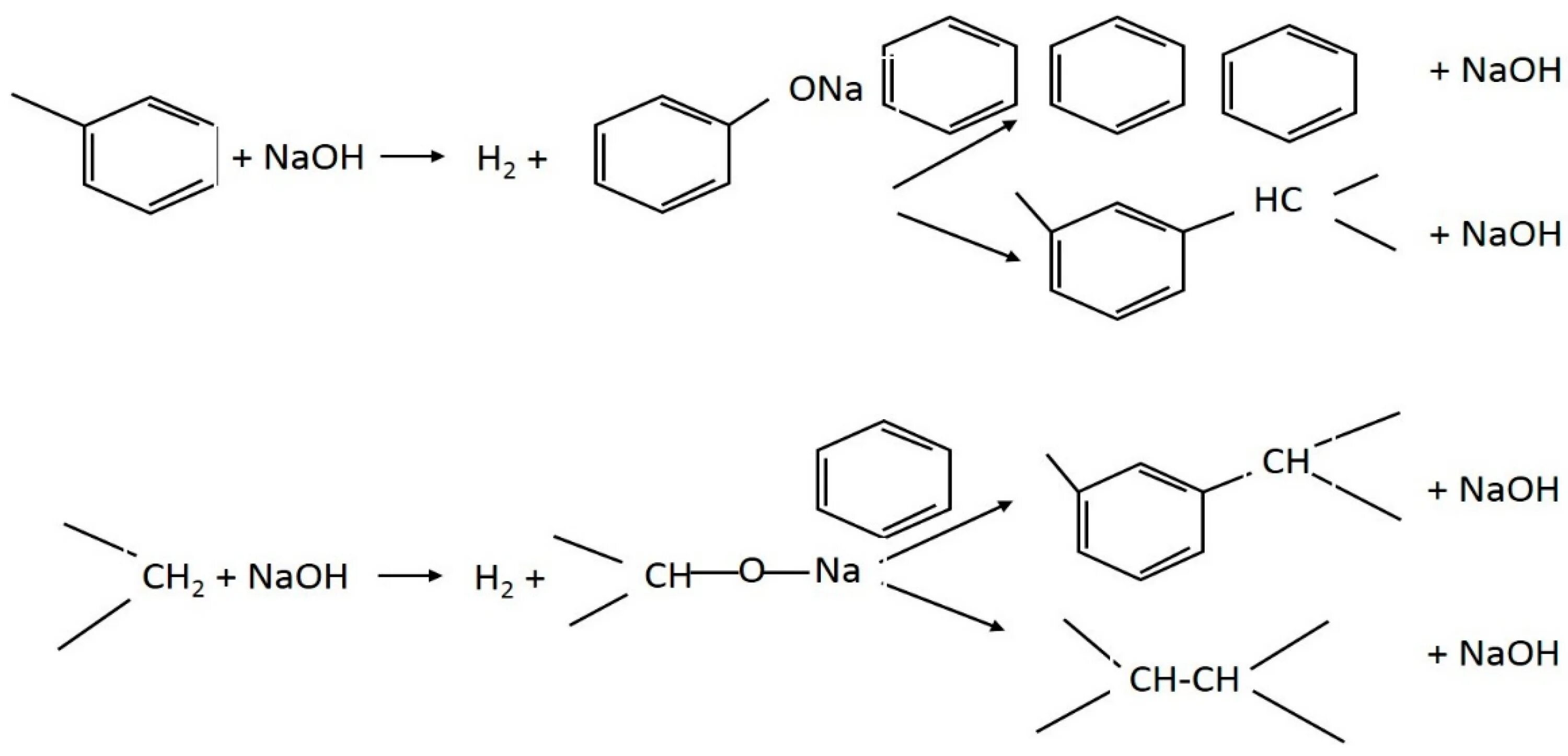
H3po4 реагирует с naoh