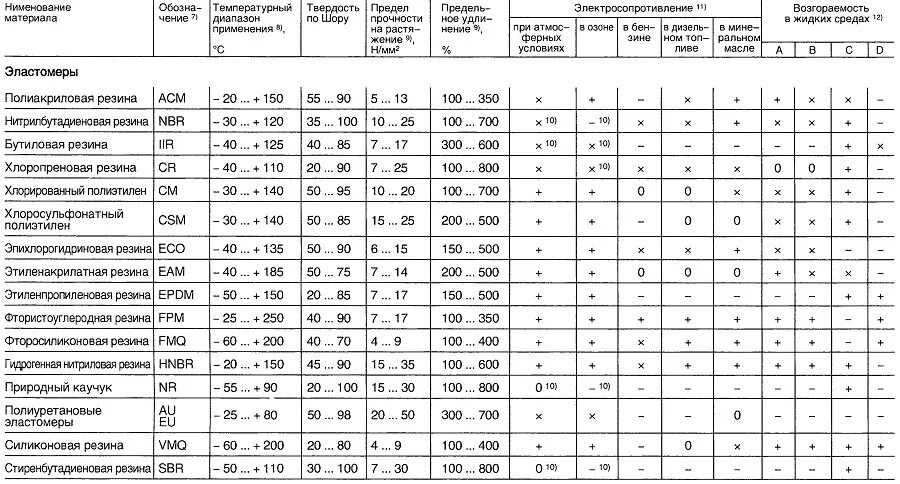
Характеристика твердости материала