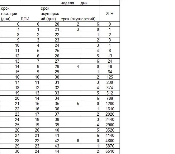
Хгч при имплантации