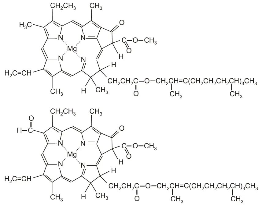
Хлорофилл каротин