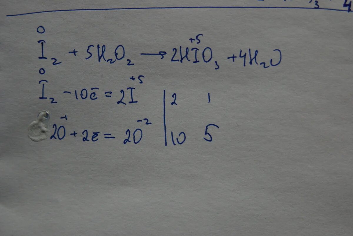
Hno3 cl