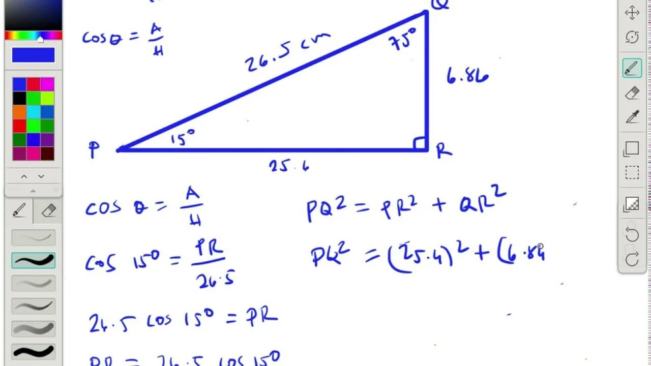
How to find the one