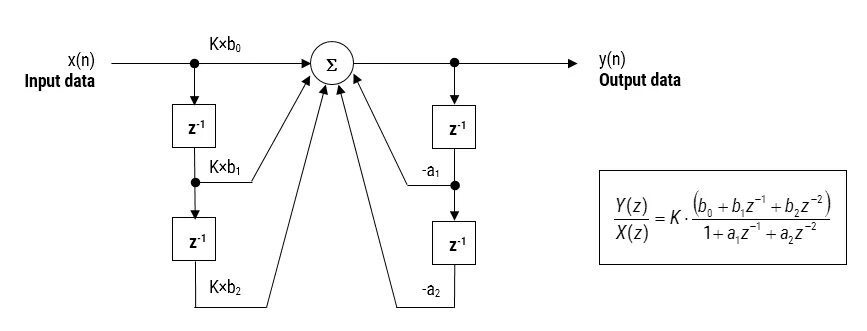
Iir filter