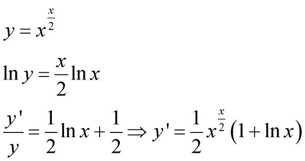
Икс во 2 степени равно 3