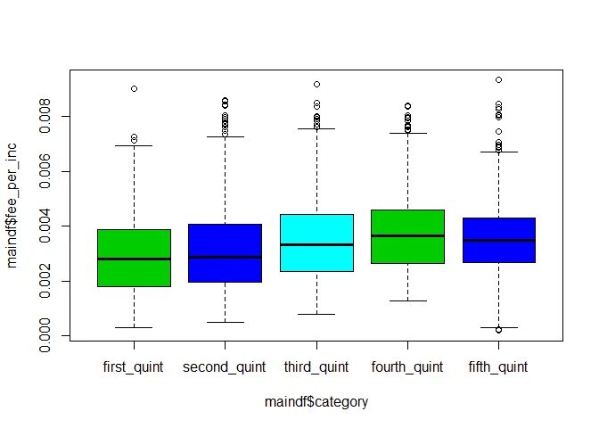
Include lowest