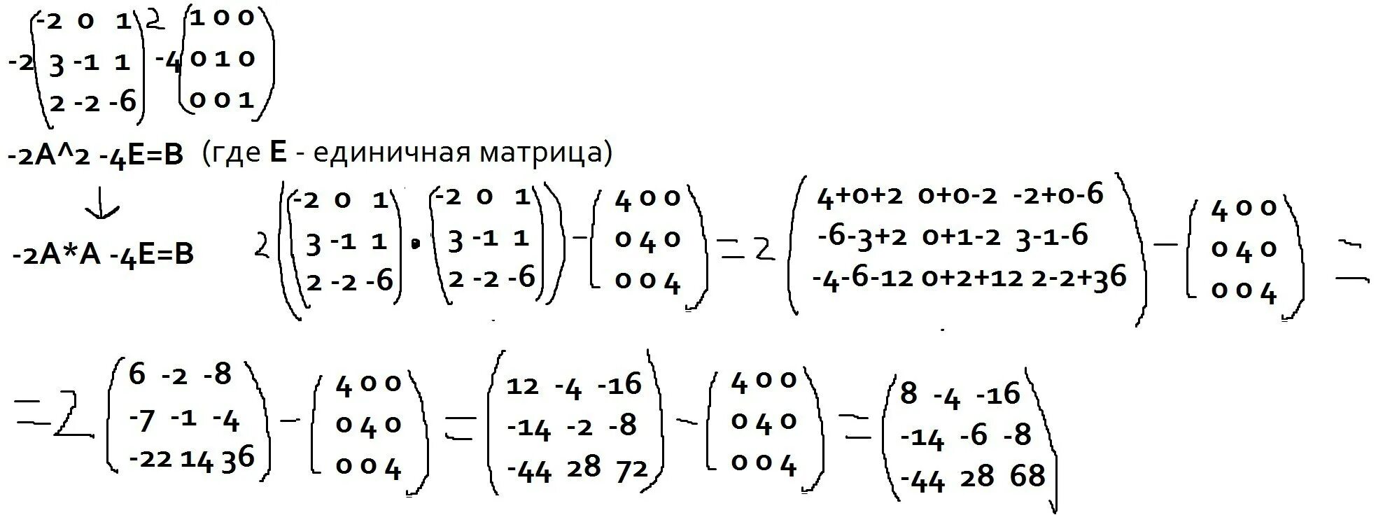
Индекс матрицы 4