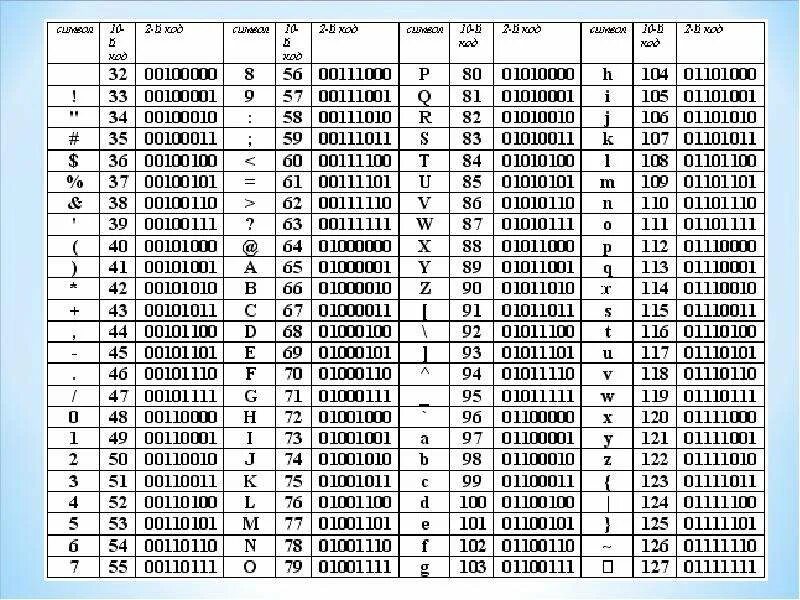
Информатика п 2.2