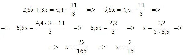
Иное решение 2