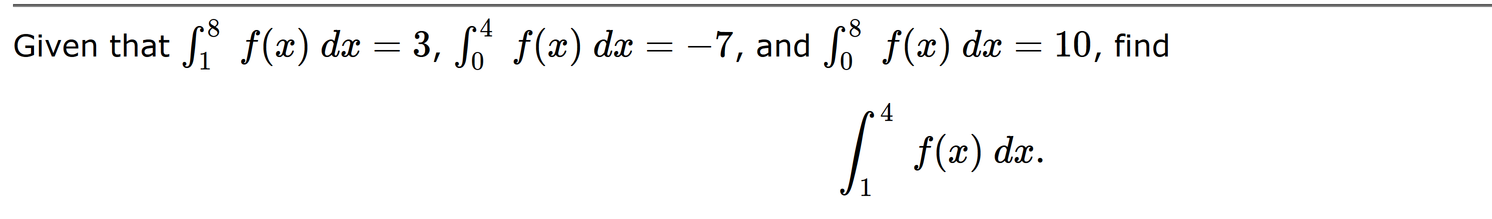
Int 2 2 f x dx