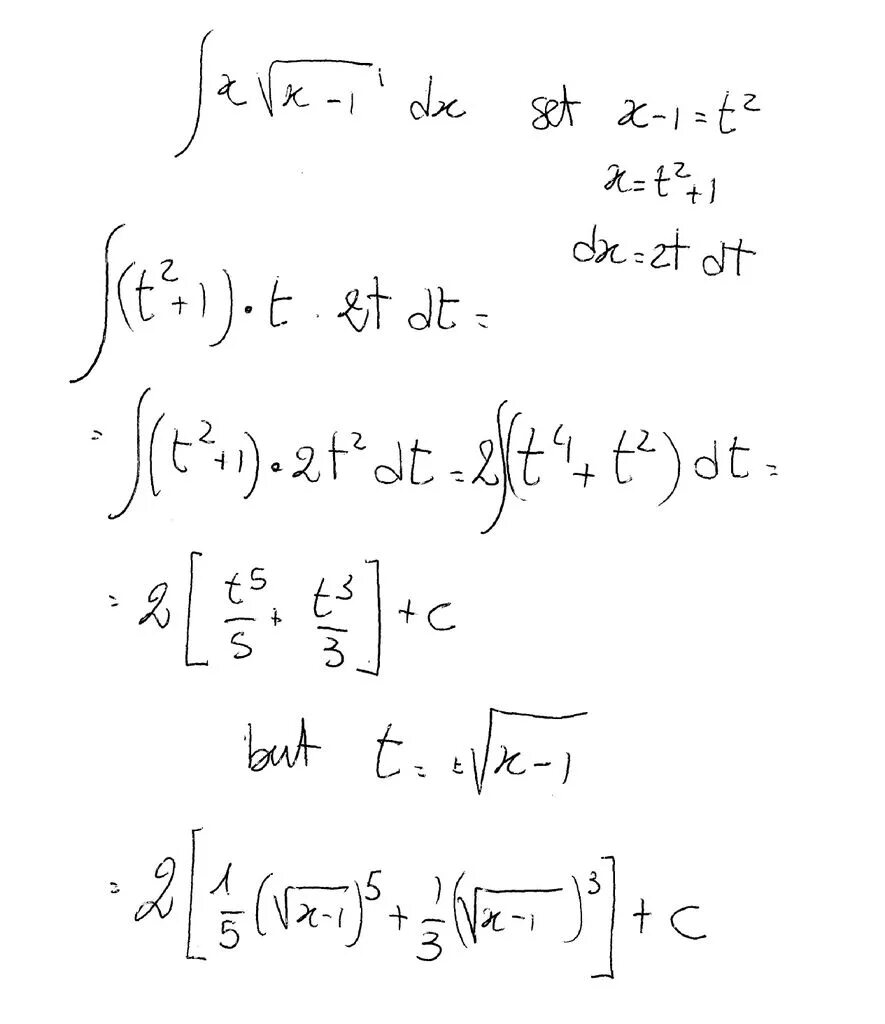
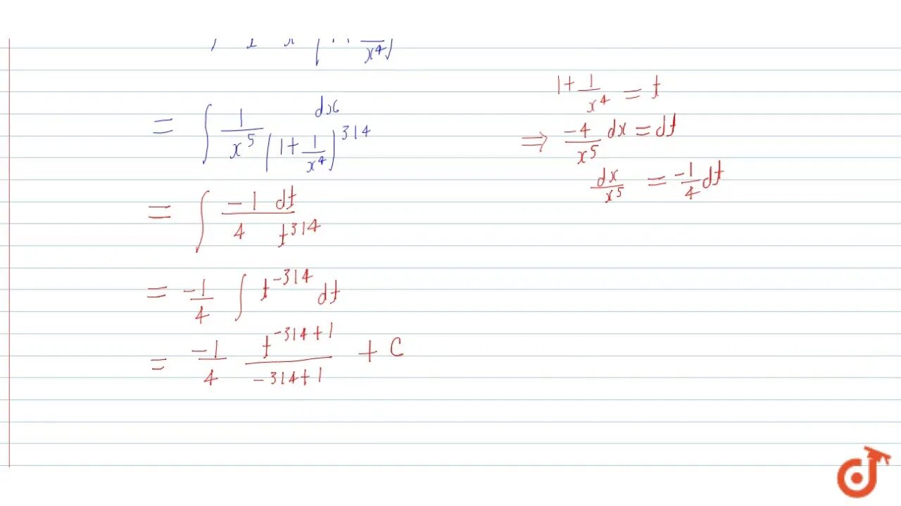
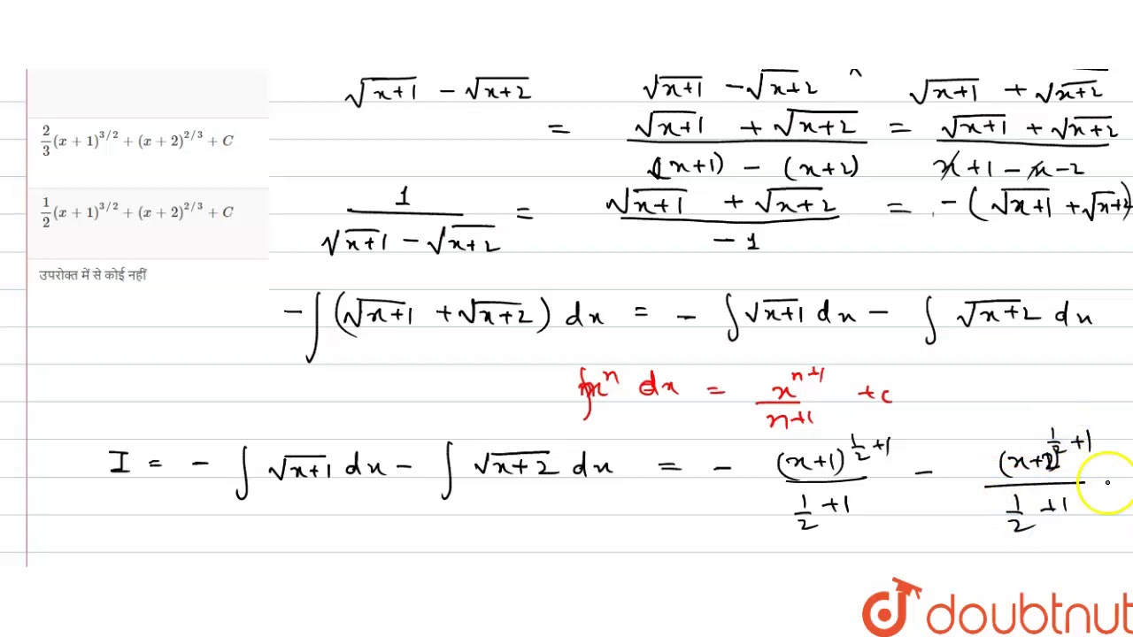
Int dx