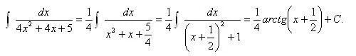
Интеграл 4x x 2 dx