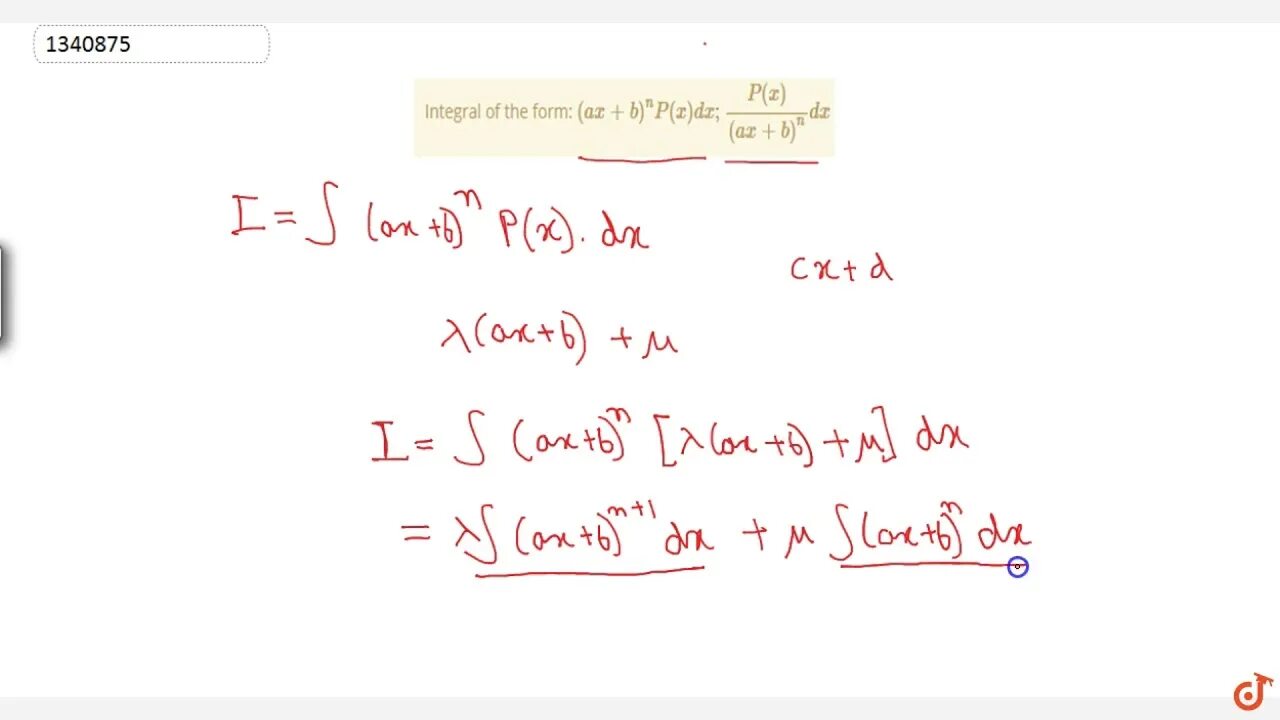
Integral b b