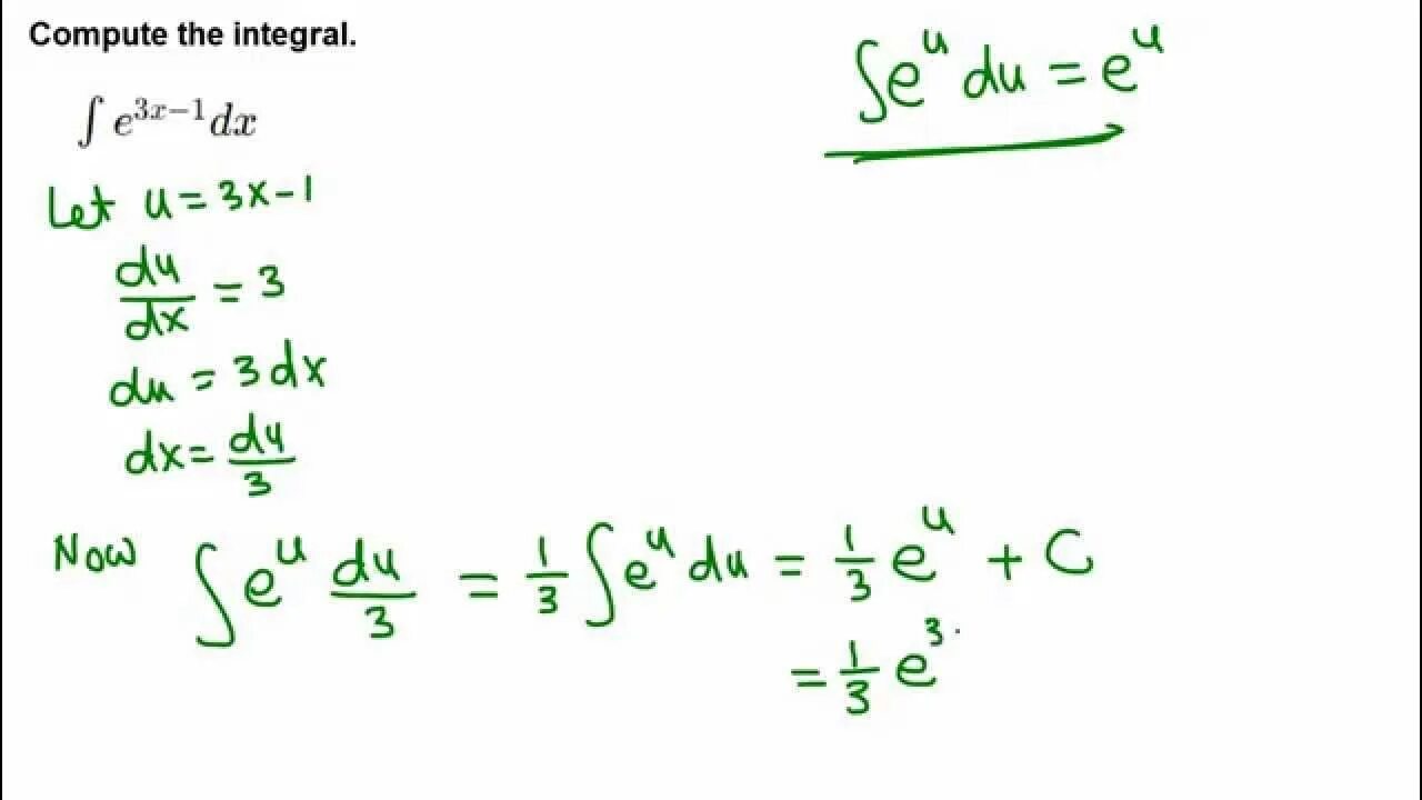
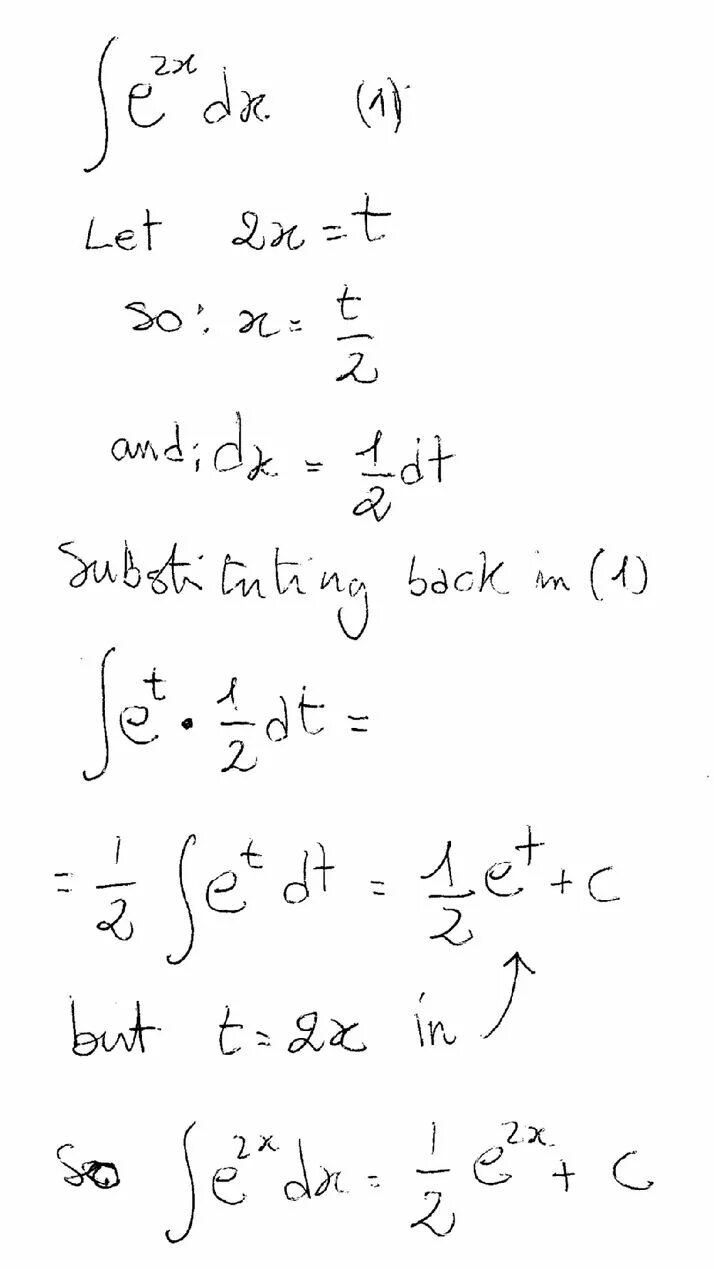
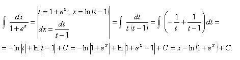
Интеграл e x 4