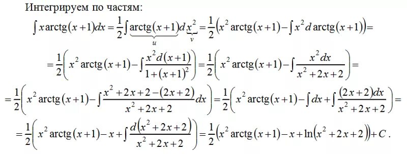
Интеграл икс 1