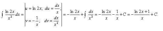
Интеграл ln x 2