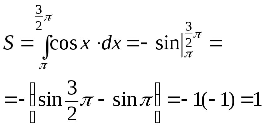
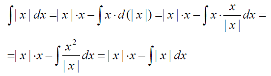
Интеграл от модуля