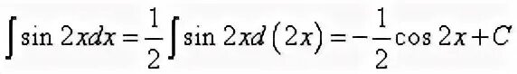
Интеграл sin x 2