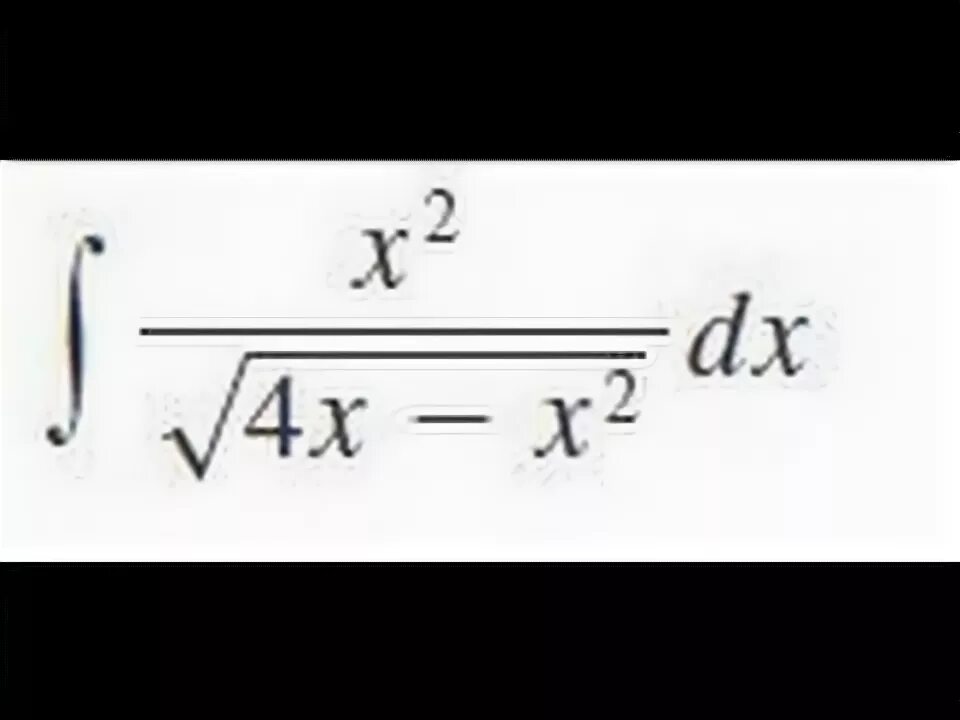
Интеграл sqrt 4 x 2