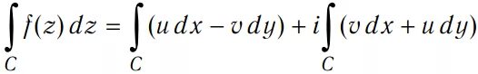
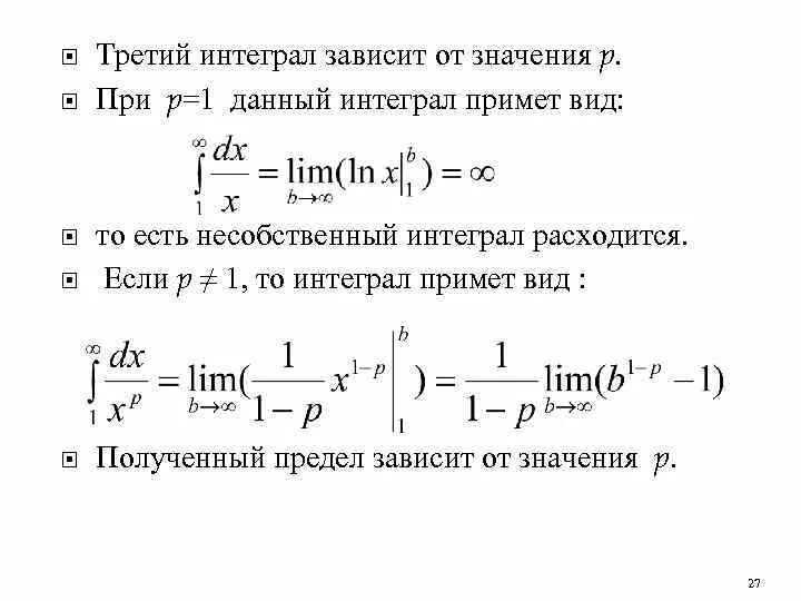
Интеграл значение c