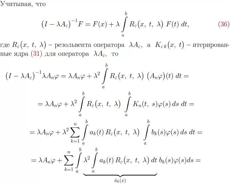
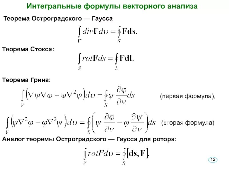
Интегральный оператор