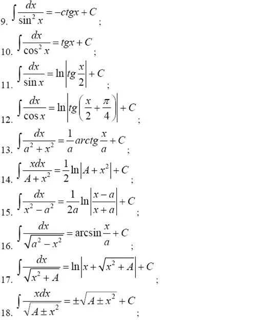
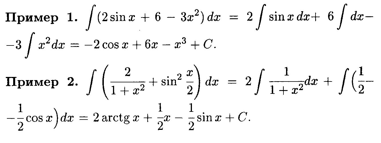
Интегралы метод непосредственного интегрирования