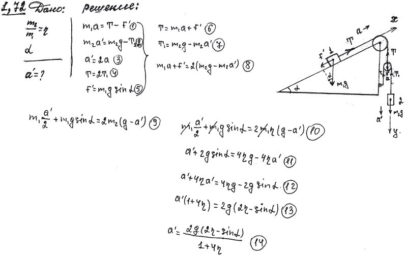
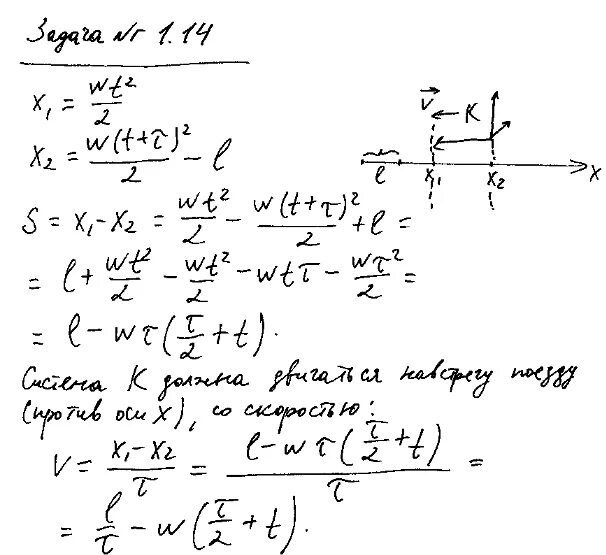
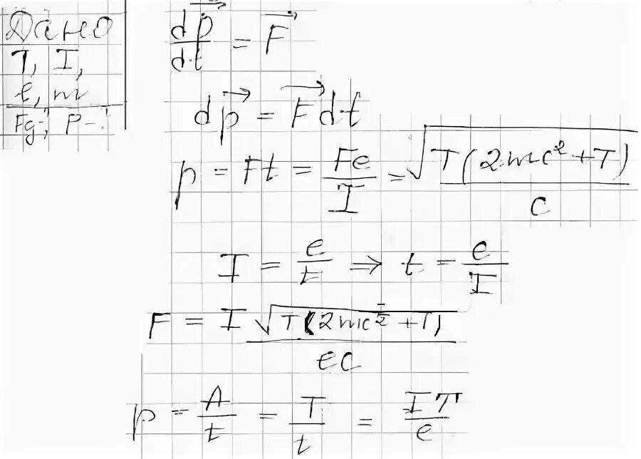
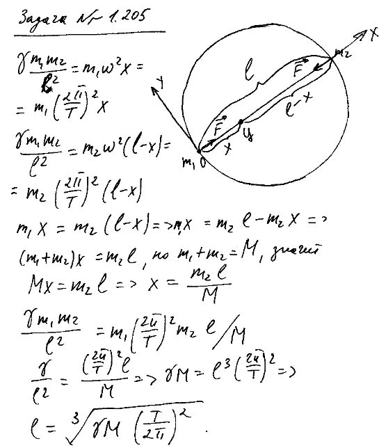
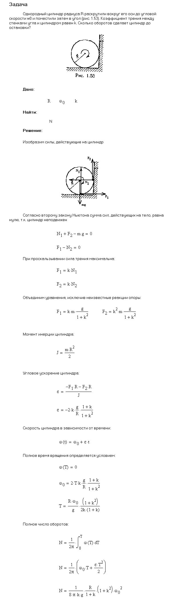
Иродов физика механика