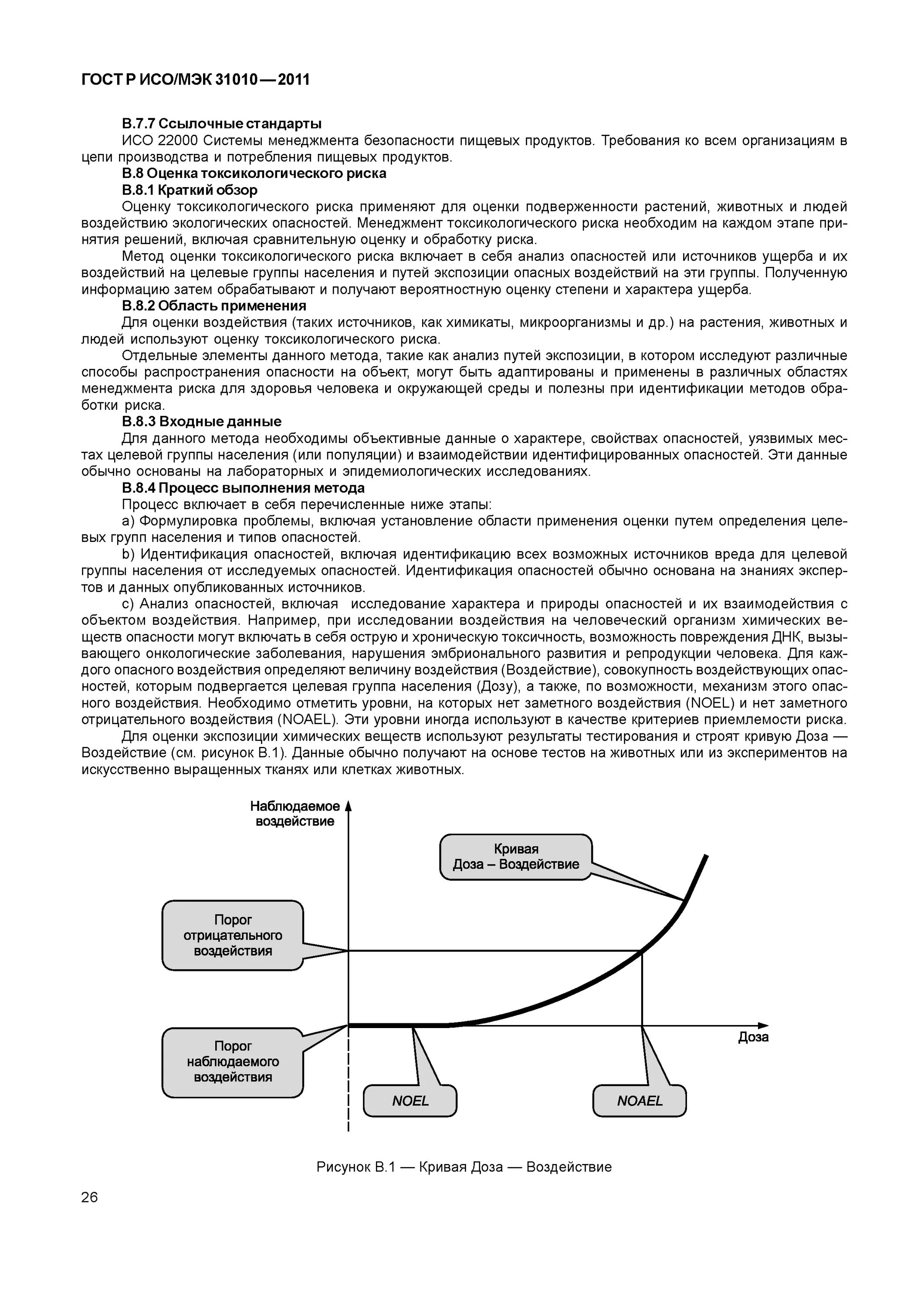
Исо 31010 менеджмент рисков