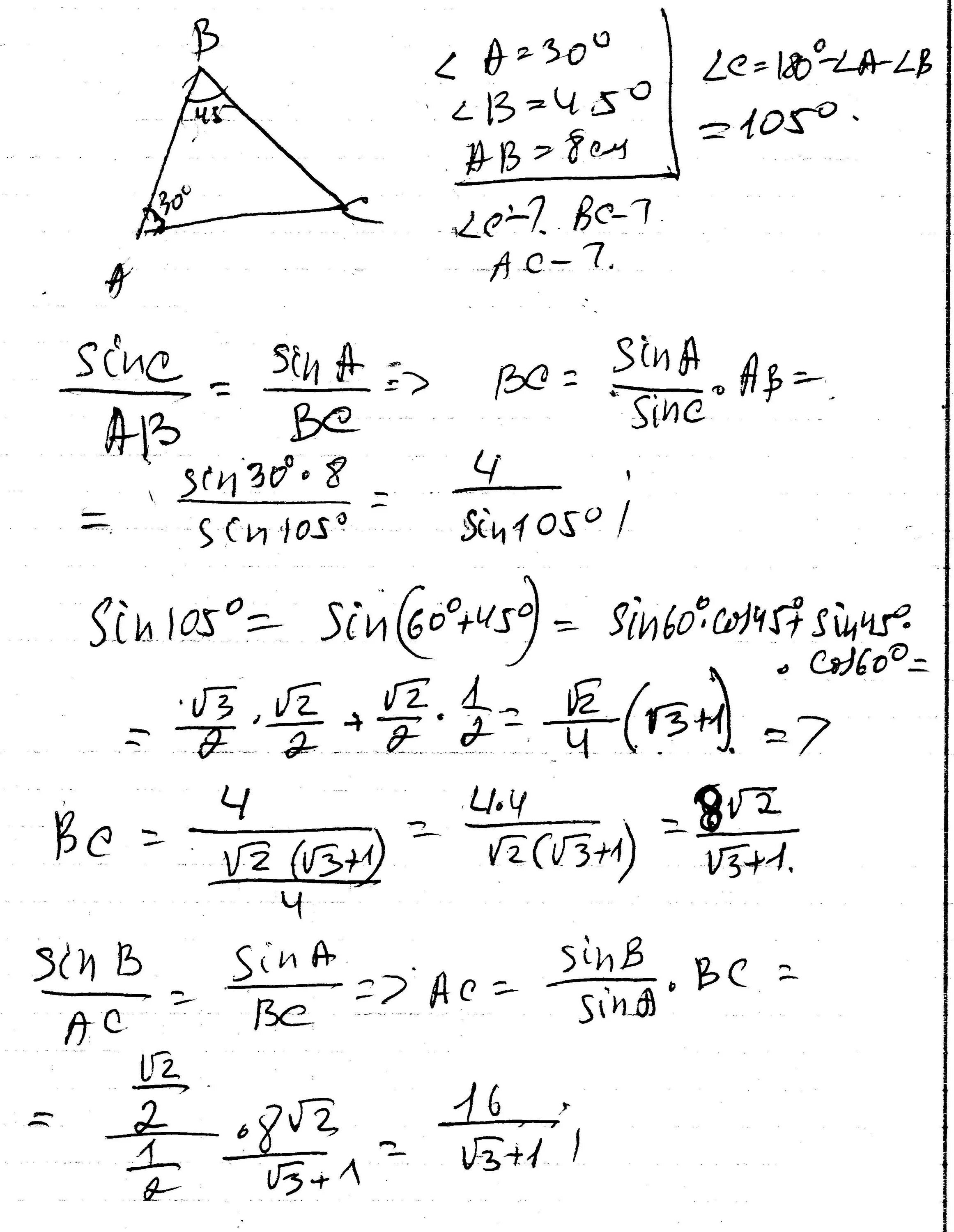
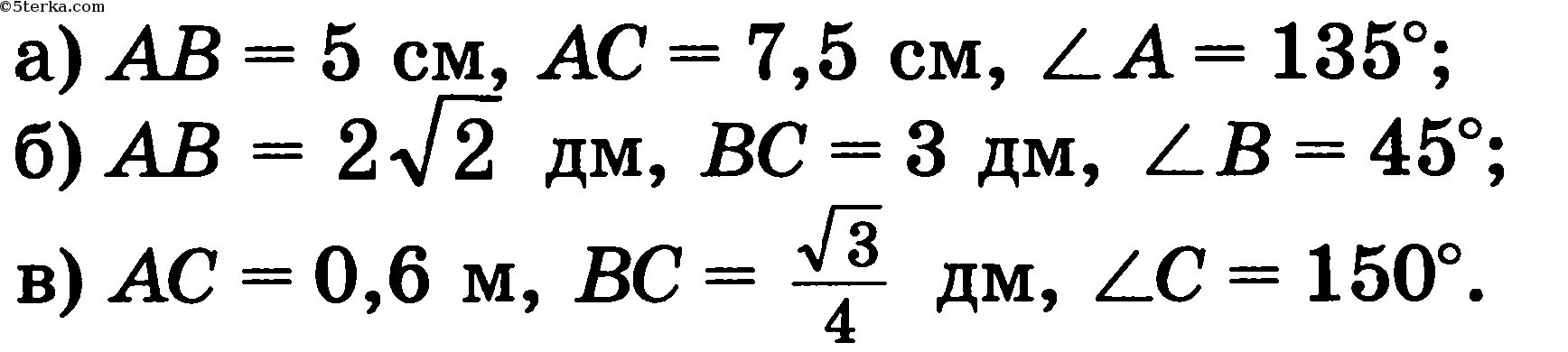
Используя теорему синусов решите