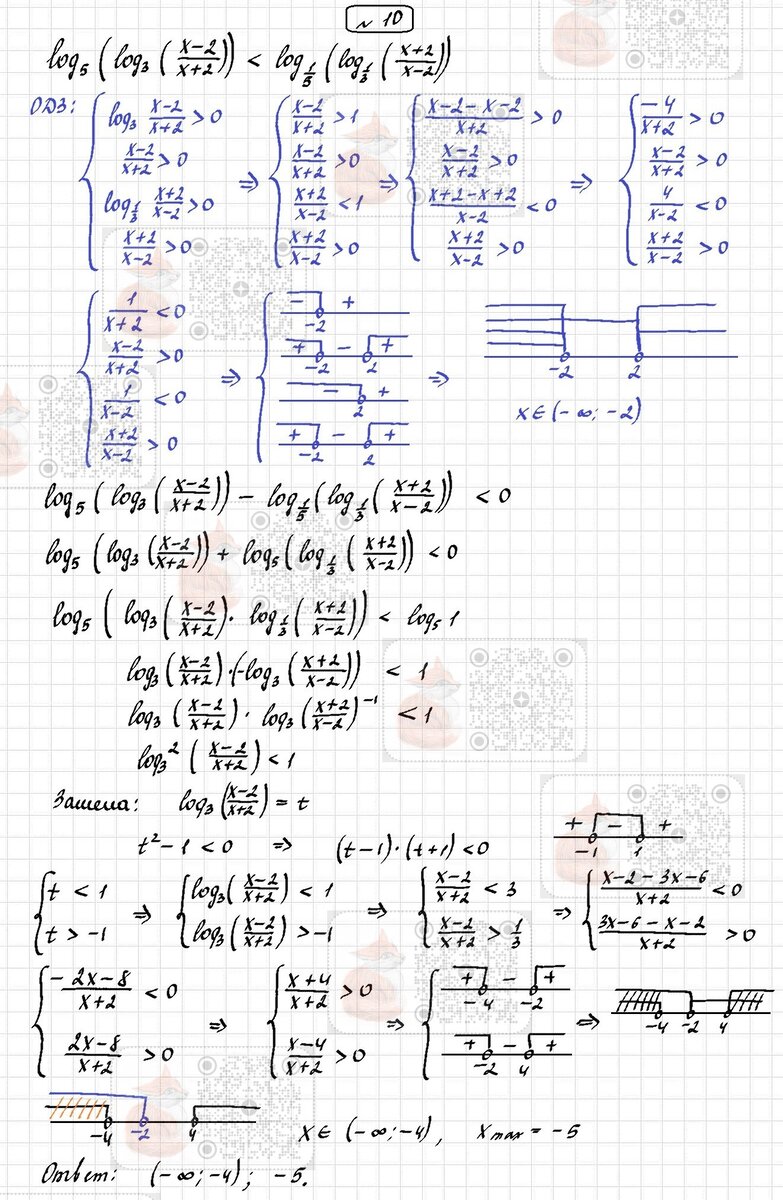
К 5 вариант 4 алгебра 8 класс