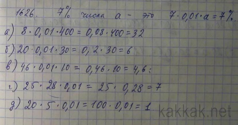
Как найти 7