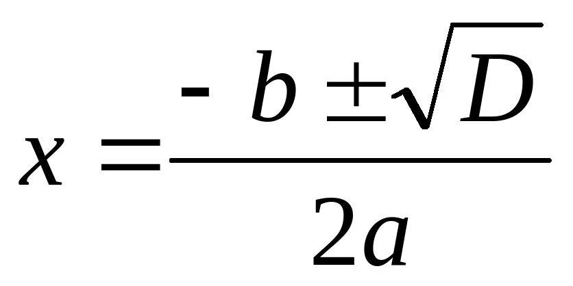
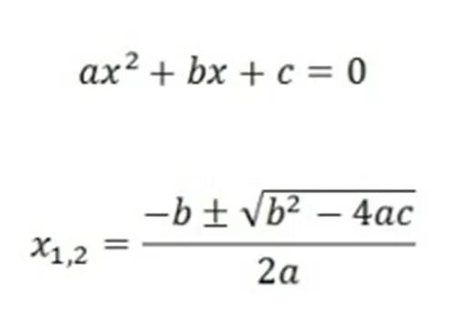
Как найти х1 и х2 дискриминант